Electric circulation heaters are widely used for heating natural gas in a variety of industrial applications. These include:

Among the four applications listed, perhaps the most surprising is the preheating required to prevent freezing. Natural gas whose pressure is reduced across a throttling valve undergoes a sudden temperature decrease as a results of the Joule-Thomson effect.
If the temperature of the gas drops below the freezing point of water, any water present in the gas may freeze. Ice may clog the fine control surfaces of control valves and regulators, leading to a breakdown of the natural gas supply system.
To prevent this from happening, natural gas is preheated by electric heaters before it is throttled, raising the temperature by an amount equal to the temperature drop during subsequent throttling.
In this article we discuss the Joule-Thomson effect as it applies to natural gas, and explain how to size a flanged electric heater for this application. Specifically, we calculate the heater power required to preheat natural gas just enough so that its temperature will return to its original value after throttling.
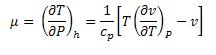
When a gas is throttled in a valve, the gas performs no work and exchanges no heat with the environment, so that its enthalpy is unchanged. It was discovered by Thomson, following the work of Joule, that the temperature however is changed during throttling according to the relationship
where:
μ, the rate of change of temperature with respect to pressure, is called the Joule-Thomson coefficient. The Joule-Thomson coefficient varies widely with natural gas pressure, temperature and composition. However, in most engineering applications, throttling occurs from an initial pressure of the order of 1,200 psig (8.27 MPag) down to a final pressure about equal to atmospheric pressure, and near the room temperature of 68 oF (20 oC).
For these conditions, the average Joule-Thomson coefficient may be taken as 7 oF/100 psi (5.6 oC/MPa). Given the Joule-Thomson coefficient and the pressure drop, the temperature drop may be calculated. The amount of preheating required so that natural gas will come back to its initial temperature after throttling is simply the throttling temperature drop times the specific heat capacity times the mass flow rate.
Example. A pipeline near a chemical plant transports natural gas at 1200 psig (8.27 MPag), 68 oF (20 oC). The plant draws 10000 pounds per hour of natural gas that has been throttled down to 15 psig. Find the temperature drop due to throttling and the preheating electric heater power required so that the temperature of the gas will be back to its original value after throttling.
| Item | Description | Formula | English units | SI Units | ||
| Value | Unit | Value | Unit | |||
| 1 | Pipeline temperature | 68 | oF | 20 | oC | |
| 2 | Pipeline pressure | 1200 | psig | 8.27 | MPag | |
| 3 | Process pressure | 15 | psig | 0.10 | MPag | |
| 4 | Pressure drop | (2) – (3) | 1185 | psig | 8.17 | MPag |
| 5 | Joule-Thomson coefficient | 7.0 | oF/100 psi | 5.6 | oC/MPa | |
| 6 | Temperature drop | (4) x (5) | 83.0 | oF | 46.1 | oC |
| 7 | Mass flow rate | 10000 | lb/hr | 1.26 | kg/s | |
| 8 | Specific heat capacity | 0.526 | Btu/lb-oF | 2.2 | kJ/kg-oC | |
| 9 | Preheating power required | (6) x (7) x (8) | 1.83 | MMBtu/hr | 127.8 | kW |
We see that, had there been no preheating, the temperature would have fallen to -15 oF (-26.1 oC), which would very likely have frozen the natural gas supply system.
In practice, it is usual to add a 25% safety margin to the calculated heating power required, to account for wall heat loss and uncertainties in measurement and control. Thus the preheater for this application would have a design power of 160 kW.
Finally, we emphasize that the natural gas must be heated before throttling, not after, as the aim is to prevent the possibility of freezing, not to repair any damages from freezing once they have occurred.